![]() |
| Первый открытый Чемпионат г.Миасса по ЗБ 13-14.01.2018 |
![]()
|
РЕГЛАМЕНТ
о проведении Чемпионата Миасского городского округа ловля на блесну со льда - командные соревнования и ловля на блесну со льда – личные соревнования 1. Введение. 1.1. Соревнования по рыболовному спорту проводятся Региональной спортивной общественной организацией «Федерация рыболовного спорта Челябинской области» в соответствии с Планом соревнований по рыболовному спорту Челябинской области на 2018 год, Министерством по физической культуре и спорту Челябинской области и ОКУ «РЦСП Челябинской области» . Соревнования проводятся при поддержке Министерства по физической культуре и спорту Челябинской области и ОКУ «РЦСП Челябинской области». Соревнования проводятся при поддержке Администрации Миасского городского округа. 1.2. Данный Регламент является основанием для командирования спортсменов и тренеров на соревнование. 1.3. Соревнования проводятся по Правилам соревнований по рыболовному спорту (0920043811Г) в дисциплине «ловля на блесну со льда», утвержденным приказом Минспорта России №140 от 20 марта 2014 года. 2. Цели и задачи проведения. 2.1. Выявление сильнейших спортсменов. 2.2. Популяризация и развитие рыболовного спорта, повышение уровня массовости рыболовного спорта в Челябинской области. 2.3. Повышение спортивного мастерства рыболовов-спортсменов, обмен опытом в спортивной и тренерской работе. 3. Организация соревнований. 3.1. Общее руководство соревнованием осуществляет Минспорт Челябинской области, ОКУ «РЦСП Челябинской области» и РСОО «ФРС Челябинской области». 3.2. Подготовка соревнований возлагается на Секцию по ловле на блесну со льда Совета РСОО Федерации рыболовного спорта Челябинской области. 3.3. Главная судейская коллегия формируется РСОО «ФРС Челябинской области». 3.4. РСОО «ФРС Челябинской области» обеспечивает проведение мероприятий, направленных на предотвращение противоправного влияния на результаты официальных спортивных соревнований и борьбу с ними в соответствии с Федеральным законом от 23.07.2013 N 198-ФЗ (ред. от 28.12.2013). 3.5. Обеспечение мер общественного порядка и общественной безопасности при проведении официального спортивного соревнования осуществляется организаторами соревнований совместно с представителями ГУМВД России по Челябинской области, в соответствии с Положением об официальном спортивном соревновании (Федеральный закон Российской Федерации от 23 июля 2013 г. N 192-ФЗ). 3.6. В целях обеспечения безопасности участников и зрителей, спортивное соревнований проводится в акватории водоема по согласованию со службой МЧС, с обязательным присутствием сотрудников указанных служб непосредственно во время соревнования и только после подписания Главным судьей соревнований акта приемки водоема. 3.7 РСОО «ФРС Челябинской области» обеспечивает работу медицинского персонала при проведении спортивного соревнования. Непосредственное проведение соревнований возлагается на РСОО «ФРС Челябинской области» и Главную судейскую коллегию. 4. Классификация, время и место проведения соревнований. Наименование спортивного мероприятия – Чемпионат Миасского городского округа Возрастная группа - Мужчины, женщины Спортивная дисциплина, наименование, номер-код: ловля на блесну со льда - командные соревнования (0920103811Л), ловля на блесну со льда – личные соревнования (0920033811Л) Сроки проведения: 13-14 января 2018 года Место проведения: Челябинская область, Аргазинское вдхр. Кол-во участников: 50 Соревнования проводятся в два тура, в два дня. Акватория (зона) соревнований состоит из всего водоема. Глубины до 12 метров, основная рыба при ловле на блесну – окунь, щука, судак. 5. Участники соревнований. 5.1. К участию в соревнованиях допускаются команды рыболовно-спортивных обществ, клубов и организаций Челябинской области. По приглашению РСОО «ФРС Челябинской области» к участию в соревновании могут быть допущены команды рыболовно-спортивных обществ, клубов и организаций других регионов России. Организаторы имеют право отказать в регистрации на турнир любой команде без объяснения причины. Состав команды – 4 человека: 3 спортсмена (не моложе 16 лет) и судья-контролер не менее 3 категории. В состав команды может входить запасной спортсмен и тренер. Команды, прибывшие в неполном составе (менее трех спортсменов и судьи), к соревнованиям не допускаются. Минимальное количество команд – 8. Максимальное количество команд – 20. 5.2. Всем членам команд необходимо иметь при себе: документ, удостоверяющий личность (паспорт для спортсменов, не имеющих спортивных книжек) или свидетельство о рождении, страховой полис обязательного медицинского страхования, оригинал договора о страховании несчастных случаев, жизни и здоровья (страховка должна быть спортивная, т.е. повышенного риска), спортивную разрядную книжку (для подтверждения спортивного разряда спортсменам, имеющим спортивные разряды). 5.3. Спортсмены до 18 лет должны иметь письменное согласие от родителей на участие в соревнованиях, заверенное нотариально, которое предъявляется в мандатную комиссию при регистрации. 5.4. Команды обязаны участвовать в церемонии открытия и закрытия соревнований желательно в единой спортивной форме одежды с эмблемами своих клубов, обществ. 5.5. Употребление алкоголя в период проведения соревнований запрещено. 6. Порядок и Правила проведения соревнований. 6.1. Соревнования проводятся по Правилам вида спорта «рыболовный спорт», утвержденным приказом Минспорта России №140 от 20 марта 2014 года. 6.2. К зачету принимаются следующие виды рыб: окунь, щука, судак. Правилами рыболовства Западно-Сибирского рыбохозяйственного бассейна на водных объектах Челябинской области ограничен вылов водных биоресурсов менее допустимых размеров: щука, судак – не менее 30 см, окунь – без ограничения по размеру. 6.3. До окончания тура рыба сохраняется у спортсменов в чистом виде в собственной таре. По окончанию тура рыба сдается судье-контролеру в таре, выдаваемой организаторами. 6.4. Взвешивание уловов осуществляется россыпью в таре судейской коллегии. 6.5. Во время тура соревнований спортсмену разрешается иметь при себе неограниченное количество запасных снастей и удочек, но ловить рыбу - только одной удочкой с одной спортивной блесной (далее – блесной) вертикальной или горизонтальной, из любого искусственного материала. 6.6. Вертикальная блесна оснащается только одним крючком. Крючок может быть впаянным или подвесным. Впаянный крючок должен быть только одинарным. Подвесной крючок может быть одинарным, двойным или тройным и может быть подвешен любым способом с помощью подвески, длина которой вместе с крючком не должна превышать половины тела блесны. Длина тела блесны без крючка, узлов крепления и подвески должна быть не менее 25 мм. 6.7. Горизонтальная блесна может быть оснащена не более чем тремя крючками, при этом впаянные крючки должны быть одинарными и их должно быть не более двух. Подвесной крючок может быть одинарным, двойным или тройным и может быть подвешен любым способом с помощью подвески, длина которой вместе с крючком не должна превышать половину тела блесны . Длина тела блесны без крючка, узлов крепления, подвески и иных выступающих элементов должна быть не менее 25 мм. Запрещается: любая насадка естественного происхождения на крючок блесны; использовать прикормку, дополнительное грузило; оставлять на льду удочку с опущенной в лунку блесной; оставлять на льду пойманную рыбу; бросать флажок для занятия места. Запасные удочки и блёсны должны находиться в рыболовном ящике. 6.8. Команда-участница соревнований весь период, от сигнала «Старт» до сигнала «Финиш» перемещается только в зоне соревнований с соблюдением спортсменами всех предусмотренных мер безопасности группой с расстоянием между крайними спортсменами команды не более 100м. При этом судья-контролер должен находиться на расстоянии не более 25м от крайнего спортсмена закрепленной за ним команды. Перемещение команды без судьи-контролера запрещено. 6.9. С началом ловли рыбы, какой либо командой – другие команды должны отойти от неё на расстояние не менее 25 метров от крайнего спортсмена этой команды. Лунка, на которой спортсмен ловит рыбу (лунка спортсмена), должна быть обозначена флажком. Ловля на лунках, не обозначенных флажком - запрещена. Для обозначения лунок спортсмен должен иметь при себе маркированный флажок с указанием номера спортсмена или его команды. Размеры флажка: полотнище 10см х 10см, длина древка не менее 20см Лунка без флажка считается свободной. Во время ловли рыбы расстояние между крайними лунками спортсменов одной команды должно быть не более 100 метров. Расстояние между лунками спортсменов одной команды – не менее 5 метров. При этом спортсменам одной команды запрещено приближаться друг к другу на расстояние менее 5 метров, спортсменам разных команд - на расстояние менее 25 метров, за исключением случаев экстренной помощи, связанных со здоровьем и жизнью спортсменов. Спортсменам запрещается приближаться к лункам спортсменов другой команды по прямой линии, соединяющей крайние лунки спортсменов другой команды, ближе 25 метров. Ориентиром для отсчета расстояния являются центры лунок, отмеченных флажками. При измерении расстояния между спортсменами преимущество имеет спортсмен, который первым обозначил лунку флажком. Если движутся оба – преимущество получает тот, кто раньше отметил флажком место для сверления лунки. Спорные ситуации решают судьи-контролёры. В качестве средства для измерения расстояния, а также спасательного средства команда должна иметь шнур длиной 25 метров с разметкой по 5 метров. При невозможности обойти другую команду (команды) на расстоянии более 25-и метров, перемещающаяся команда обязана следовать указаниям судьи-контролёра команды, находящейся на местах лова. При этом проход может быть разрешен на расстоянии не ближе 10 метров от лунки спортсмена команды, находящейся на местах лова. 6.10. На личных и командных соревнованиях при ловле рыбы и передвижениях спортсмен должен соблюдать тишину и не создавать помех другим спортсменам. Подходить к другим спортсменам на расстояние менее установленного разрешается только для оказания им помощи при несчастных случаях. Перемещение спортсменов в зоне соревнований бегом запрещено. На личных и командных соревнованиях от момента старта и до сдачи улова на взвешивание, спортсмены не имеют права передавать друг другу и принимать от других лиц пойманную рыбу, оказывать и принимать помощь в вываживании рыбы, подходить друг к другу на расстояние, меньше установленного настоящими положением и правилами. 6.11. От команды «Старт» до команды «Финиш» спортсмены должны находиться и перемещаться только в зоне соревнований. В случае необходимости, судья-контролёр может разрешить спортсмену команды или участнику личных соревнований покинуть зону соревнований. В этом случае лунка, обозначенная флажком, сохраняется за спортсменом. Во время движения от места старта к месту ловли и от последнего места ловли к месту финиша ледобуры должны быть с зачехленными ножами. Во время ловли ледобур спортсмена должен находиться в вертикальном положении засверленным в лед. 6.12. Участник команды или команда в полном составе может быть дисквалифицирована решением Главной судейской коллегии за нарушение Порядка и Правил проведения соревнований, а также за действия, оскорбляющие нравственное и человеческое достоинство. 6.13. К участнику команды или к команде в полном составе, дисквалифицированной решением Главной судейской коллегии, применяются санкции, определяемые дисциплинарной комиссией РСОО «ФРС Челябинской области» в соответствии с Дисциплинарным Кодексом (рыболовный спорт) «Росохотрыболовсоюза». 6.14. К участнику команды или к команде в полном составе, снявшейся с турнира до его окончания и/или не присутствующей на церемонии награждения победителей без разрешения Главного судьи соревнований, применяются санкции, определяемые дисциплинарной комиссией РСОО «ФРС Челябинской области» в соответствии с Дисциплинарным Кодексом (рыболовный спорт) «Росохотрыболовсоюза». 6.15. Рыба, выловленная в ходе соревнований, после взвешивания и подведения итогов поступает в распоряжение организаторов. 6.16. Тренировки на акватории соревнований разрешены до 12.01.2018 года включительно. 7. Регламент соревнований. 7.1. Соревнования проводятся в личном и командном зачёте, 2 тура, 2 дня по 6 часов: 7.2. 13 января 2018 года (суббота): • 07.00 – 08.00 - прибытие и регистрация команд; • 08.00 – 08.15 - жеребьевка, распределение судей по командам • 08.15 – 08.30 – семинар с судьями-контролерами по судейству соревнований • 08.30 – построение команд, торжественное открытие соревнований • 09.00 – старт 1 тура соревнований • 15.00 – финиш 1 тура соревнований • 15.00 – 16.00 – взвешивание уловов • 16.00 – 17.00 – подведение итогов 1 тура соревнований. 14 января 2018 года (воскресенье): • 08.00 – 08.50 - прибытие команд к месту старта • 08.50 – 08.55 построение команд, перекличка • 09.00 – старт 2 тура соревнований • 15.00 – финиш 2 тура соревнований • 15.00 – 16.00 – взвешивание уловов • 16.00 – 17.00 - подведение итогов 2 тура соревнований • 17.00 – построение команд, награждение, торжественное закрытие соревнований. Судейская коллегия имеет право изменить регламент в силу непредвиденных обстоятельств, включая погодные условия. 8. Условия подведения итогов. 8.1. К зачету принимается чистая рыба, без снега и льда, в таре, выданной организаторами соревнований. Рыба взвешивается с точностью до 2 граммов. Участнику начисляется 1 балл за каждый грамм веса. 8.2. Победители и призеры в личном зачете определяются по наименьшей сумме мест, полученных за два тура. При равенстве суммы мест у двух и более спортсменов преимущество получает спортсмен, выловивший больше рыбы (по весу) за два тура. При равенстве суммы мест и веса улова за два тура победителем признается спортсмен, выловивший наибольший вес рыбы во втором туре. 8.3. В командных соревнованиях результат определяется по наименьшей сумме мест, набранных членами команды за два тура. При равенстве суммы мест у двух или более команд преимущество получает команда, выловившая наибольшее количество рыбы (по весу) за два тура. При равенстве суммы мест и веса улова за два тура победителем признается команда, поймавшая большее количество рыбы (по весу) во втором туре. 8.4. Протесты – каждый капитан команды имеет право подавать протесты. Протест подаётся в письменном виде. Условия подачи протеста оговариваются ГСК соревнований; – протесты принимаются не позднее 30 минут после оглашения результатов соревнований – капитан команды, подавший протест обязан присутствовать на заседании судейской коллегии при разборе протеста – решение по протесту принимается открытым голосованием главной судейской коллегии по большинству голосов – решение главной судейской коллегии по протесту является окончательным – при согласии большинства членов главной судейской коллегии разрешается на месте вносить изменения в данный Регламент (перенос времени старта, изменение продолжительности этапа и т.п.). Оргкомитет РСОО «ФРС Челябинской области» вправе изменить дату проведения и Регламент соревнований в силу непредвиденных, форс-мажорных обстоятельств, включая погодные условия. 9. Финансовые условия. 9.1. Награждение победителей медалями и грамотами за счёт Минспорта Челябинской области и ОКУ «РЦСП Челябинской области». ( медали – 12 штук, грамоты – 13 штук). 9.2. Расходы, связанные с участием спортсменов в соревнованиях (проезд до места соревнований, проживание, питание, и т.д.), несут командирующие их организации (клубы) или они осуществляются непосредственно самими участниками. 9.3. Дополнительное финансирование соревнований осуществляется на долевой основе: 9.3.1. Стартовый взнос с команды за участие в соревнованиях составляет 4000 (Четыре тысячи) рублей с команды. Для членов РСОО «ФРС Челябинской области» предусмотрена скидка 25% на стартовый взнос. В случае, когда один или два спортсмен из команды является членом РСОО «ФРС Челябинской области» - скидка на стартовый взнос предоставляется пропорционально. 9.3.2. Стартовый взнос перечисляется до 11 января 2018 года (включительно) по следующим реквизитам : а) карта Сбербанка номер 4276 7200 1307 6601, сообщение о дате и сумме платежа отправляется на эл.почту frschel@mail.ru. Документы подтверждающие оплату, обязательны при регистрации. 9.3.3. Команде, снявшейся с турнира до его окончания или дисквалифицированной решением Главной судейской коллегии за нарушение Порядка и Правил проведения соревнований, стартовый взнос не возвращается. 9.3.4. Частичная оплата судейства и техническое обеспечение соревнований осуществляется за счет стартовых взносов 9.3.5. Команде, зарегистрировавшейся на турнир, оплатившей взнос и не явившейся на соревнование по любой причине, стартовый взнос не возвращается. 10. Заявки на участие. 10.1 Предварительные заявки и регистрацию можно осуществить на интернет - форуме В предварительной заявке указывается: город, ФИО, год рождения, наличие спортивного разряда, статус участников 10.2 Информация о предварительной регистрации, приглашения на участие в турнире, а также справочная информация публикуется на вышеуказанном форуме в соответствующем разделе. 11. Обеспечение безопасности Спортивные соревнования проводятся на спортивных сооружениях, отвечающих требованиям соответствующих правовых актов действующих на территории Российской Федерации по вопросам обеспечения общественного порядка и безопасности участников и зрителей, а так же при условии наличия актов готовности физкультурного и спортивного сооружения к проведению мероприятий, утверждаемых в установленном порядке. Обеспечение безопасности участников и зрителей на спортивных соревнованиях осуществляется согласно требований Правил обеспечения безопасности при проведении официальных спортивных соревнований, утвержденных постановлением Правительства Российской Федерации от 18 апреля 2014 года № 353 «Об утверждении правил безопасности при проведении официальных спортивных соревнований». Оказание медицинской помощи осуществляется в соответствии с приказом Министерства здравоохранения Российской Федерации от 01.03.2016 г. № 134н « О порядке организации оказания медицинской помощи лицам, занимающимся физической культурой и спортом…»: Приложение №1 к Регламенту о проведении Чемпионата Миасского городского округа по ловле на блесну со льда 13-14 января 2018 года Заявка На участие команды ___________________________ города _________________ в Чемпионате Миасского городского округа по ловле на блесну со льда 13-14 января 2018 года. № п/п Фамилия, Имя, Отчество, Год рождения, Спортивный разряд, виза врача может стоять в разрядной книжке 1 капитан 2 основной 3 основной 4 судья-контролер 5 запасной 6 тренер Все члены команды с Правилами вида спорта «Рыболовный спорт», Регламентом проведения соревнований по рыболовному спорту, Положением о данных соревнованиях и правилами техники безопасности знакомы. Полюсы обязательного и добровольного медицинского страхования имеются. Спасательный шнур в наличии. Председатель _______________________________ _______________________ (_______________) м.п. наименование организации подпись ф.и.о. или Президент клуба ____________________________ _______________________ (_______________) м.п. наименование подпись ф.и.о. или, если команда ни кем не направлена Капитан команды __________________________ _______________________ (_______________) Добавлено спустя 17 минут 53 секунды: Спонсор Чемпионата База отдыха "Берёзка" предоставляет скидку 50% на все услуги на время соревнований Компанией ООО "Уралспецмаш" учреждён специальный приз за самого крупного Окуня "кОкунь"
По датам Ваших заездов, большая просьба , предупредить администратора базы, чтобы успеть протопить Ваши апартаменты. И с 13 на 14 января в обязательном порядке будет протоплена баня для помывки спортсменов и судей! Привет друзья. Свершилось!!!! Первый открытый Чемпионат города Миасса по зимней блесне 2018 Всё для нас!!! Призы, Баня, огромные Скидки, Опыт и Крутые соперники!!! Регистрируйтесь!!! У кого нет команды пишите на форуме, соберём вам команду и с судьями поможем!!! И ПОМНИТЕ, третий разряд и пропуск на областные соревнования можно получить только через городские, поэтому они у нас есть!!! регистрация тут или тут где вам удобнее ДОБРО ПОЖАЛОВАТЬ! |
|||||||||||||||||
|
_________________ Наши приключения на ютуб канале |
||||||||||||||||||
![]()
|
1 Команда "Щуки монстры", город-герой Миасс
1. Звездин Максим Александрович, 1978 г.р., 2 разряд (капитан). 2. Мерзляков Михаил Юрьевич, 1977 г.р. б\р. 3. Кирьянов Михаил Иванович,1972 г.р., б\р 4. Якупов Евгений Игоревич, 1980 г.р., СС3К 2 Команда "Рокетс", г. Миасс. 1. Пирожков Станислав Алексеевич, 1984 г.р., б/р. 2. Долгов Антон Алексеевич, 1987 г.р., б/р. 3. Казанцев Денис Николаевич, 1981 г.р., б/р. 4. Судья - Авдеев Дмитрий Геннадьевич, 1967 г.р. 3 Команда "Блокчейн" г. Екатеринбург-Полевской 1. Штеркель Петр Александрович, 1983, б/р 903 078-68-96 2. Подорванов Евгений Викторович, 1980, б/р 3. Незнакин Александр Викторович, 1981, б/р 4. Судьи нет 4 Команда «Бурые бродяги» г.Миасс 1. Скочигоров Андрей Анатольевич 1988 б/р капитан 2. Хазеев Азат Масхутович ,1988 б/р 3. Фёдоров Евгений Викторович ,1988 б/р 4.Судьи нет |
|||||||||||||||||
|
_________________ Наши приключения на ютуб канале |
||||||||||||||||||
![]()
|
Вниманию жителей г. Миасса и не только! До 11.01.2018 продолжается регистрация команд и участников на первый открытый Чемпионат Миасского городского округа по зимней блесне со льда! Приглашаются все желающие принять участие!!! Место проведения оз.Аргази
![]() |
|||||||||||||||||
_________________ Наши приключения на ютуб канале |
||||||||||||||||||
![]()
|
1 Команда "Щуки монстры", город-герой Миасс
1. Звездин Максим Александрович, 1978 г.р., 2 разряд (капитан). 2. Мерзляков Михаил Юрьевич, 1977 г.р. б\р. 3. Кирьянов Михаил Иванович,1972 г.р., б\р 4. Якупов Евгений Игоревич, 1980 г.р., СС3К 2 Команда "Рокетс", г. Миасс. 1. Пирожков Станислав Алексеевич, 1984 г.р., б/р. (капитан) 2. Долгов Антон Алексеевич, 1987 г.р., б/р. 3. Казанцев Денис Николаевич, 1981 г.р., б/р. 4. Судья - Авдеев Дмитрий Геннадьевич, 1967 г.р. СС3К 3 Команда "Блокчейн" г. Екатеринбург-Полевской 1. Штеркель Петр Александрович, 1983, б/р (капитан) 2. Подорванов Евгений Викторович, 1980, б/р 3. Незнакин Александр Викторович, 1981, б/р 4. Судьи нет 4 Команда «Бурые бродяги» г.Миасс 1. Скочигоров Андрей Анатольевич 1988 б/р (капитан) 2. Хазеев Азат Масхутович ,1988 б/р 3. Фёдоров Евгений Викторович ,1988 б/р 4.Судьи нет 5 Команда "Тайфун" г.Челябинск 1. Борзиков Вячеслав Геннадьевич, 1971г.р., 2 разряд (капитан) 2. Деграф Олег Николаевич, 1976 г.р. МС 3. Вишняков Павел Андреевич, 1987 г.р 1 разряд 4. Судья - Коновалов Игорь Александрович, СС1К 6 Команда "Лесники", г. Миасс 1. Копытов Дмитрий Владимирович,1980 г.р., 3 разряд (капитан). 2. Баукин Валерий Викторович 1974г.р. б\р 3. Гайнетдинов Данис Бадретдинович, 1967 г.р., 3 разряд. 4. Судья - Саенко Александр Николаевич, 1977, СС3К |
|||||||||||||||||
|
_________________ Наши приключения на ютуб канале |
||||||||||||||||||
![]()
|
1 Команда "Щуки монстры", город-герой Миасс
1. Звездин Максим Александрович, 1978 г.р., 2 разряд (капитан). 2. Мерзляков Михаил Юрьевич, 1977 г.р. б\р. 3. Кирьянов Михаил Иванович,1972 г.р., б\р 4. Якупов Евгений Игоревич, 1980 г.р., СС3К 2 Команда "Рокетс", г. Миасс. 1. Пирожков Станислав Алексеевич, 1984 г.р., б/р. (капитан) 2. Долгов Антон Алексеевич, 1987 г.р., б/р. 3. Казанцев Денис Николаевич, 1981 г.р., б/р. 4. Судья - Авдеев Дмитрий Геннадьевич, 1967 г.р. СС3К 3 Команда "Блокчейн" г. Екатеринбург-Полевской 1. Штеркель Петр Александрович, 1983, б/р (капитан) 2. Подорванов Евгений Викторович, 1980, б/р 3. Незнакин Александр Викторович, 1981, б/р 4. Судьи нет 4 Команда «Бурые бродяги» г.Миасс 1. Скочигоров Андрей Анатольевич 1988 б/р (капитан) 2. Хазеев Азат Масхутович ,1988 б/р 3. Фёдоров Евгений Викторович ,1988 б/р 4.Судьи нет 5 Команда "Тайфун" г.Челябинск 1. Борзиков Вячеслав Геннадьевич, 1971г.р., 2 разряд (капитан) 2. Деграф Олег Николаевич, 1976 г.р. МС 3. Вишняков Павел Андреевич, 1987 г.р 1 разряд 4. Судья - Коновалов Игорь Александрович, СС1К 6 Команда "Лесники", г. Миасс 1. Копытов Дмитрий Владимирович,1980 г.р., 3 разряд (капитан). 2. Баукин Валерий Викторович 1974г.р. б\р 3. Гайнетдинов Данис Бадретдинович, 1967 г.р., 3 разряд. 4. Судья - Саенко Александр Николаевич, 1977, СС3К 7.Команда "ТопольМ" г.Челябинск 1. Ганеев Илья Акрамович 1989г б/р (капитан) 2. Бордунов Михаил Алексеевич 1979г 1разряд 3. Прямоносов Алексей Игоревич 1984г б/р 4. Судья уточняется |
|||||||||||||||||
|
_________________ Наши приключения на ютуб канале |
||||||||||||||||||
![]()
|
Кворум господа!!! ура!!!
1 Команда "Щуки монстры", город-герой Миасс 1. Звездин Максим Александрович, 1978 г.р., 2 разряд (капитан). 2. Мерзляков Михаил Юрьевич, 1977 г.р. б\р. 3. Кирьянов Михаил Иванович,1972 г.р., б\р 4. Судья Кабанов Алексей Владимирович, 1977, СС1К 2 Команда "Рокетс", г. Миасс. 1. Пирожков Станислав Алексеевич, 1984 г.р., б/р. (капитан) 2. Долгов Антон Алексеевич, 1987 г.р., б/р. 3. Казанцев Денис Николаевич, 1981 г.р., б/р. 4. Судья - Авдеев Дмитрий Геннадьевич, 1967 г.р. СС3К 3 Команда "Блокчейн" г. Екатеринбург-Полевской 1. Штеркель Петр Александрович, 1983, б/р (капитан) 2. Подорванов Евгений Викторович, 1980, б/р 3. Незнакин Александр Викторович, 1981, б/р 4. Судья Соколов Александр Николаевич, 1977, СС1К 4 Команда «Бурые бродяги» г.Миасс 1. Скочигоров Андрей Анатольевич 1988 б/р (капитан) 2. Якупов Евгений Игоревич, 1980 г.р., 3 разряд 3. Афанасьев Андрей Александрович, 1987 г.р., 3 разряд 4.Судья Питалев Артём Олегович, СС3К 5 Команда "Лесники", г. Миасс 1. Копытов Дмитрий Владимирович,1980 г.р., 3 разряд (капитан). 2. Баукин Валерий Викторович 1974г.р. б\р. 3. Гайнетдинов Данис Бадретдинович, 1967 г.р., 3 разряд. 4. Судья Саенко Александр Николаевич, 1977, СС3К. 6.Команда "ТопольМ" г.Челябинск 1. Ганеев Илья Акрамович 1989г, б/р (капитан) 2. Бордунов Михаил Алексеевич 1979г, б/р 3. Прямоносов Алексей Игоревич 1984г, б/р 4. Судья Капралов Алексей Валерьевич, СС3К, 1982г 7.Команда "КВН" г.Челябинск 1. Вишняков Павел Андреевич 1987 г.р, 1р. капитан 2. Костюченко Александр Иванович 1961г.р. КМС. 3. Николенко Евгений Анатольевич 1983г.р., 3р. 4. Судья Деграф Олег Николаевич, СС1К. 8. Команда "Рыбари 174" г. Челябинск: 1. Малахов Вадим Витальевич, 1960 г.р., 2 р., капитан. 2. Шерстобитов Федор Викторович, 1981г.р., б/р. 3. Шайхетдинов Дамир Раймильевич, 1961г.р., б/р. 4. Судьи нет. Прошу помощи. |
|||||||||||||||||
|
_________________ Наши приключения на ютуб канале |
||||||||||||||||||
![]()
|
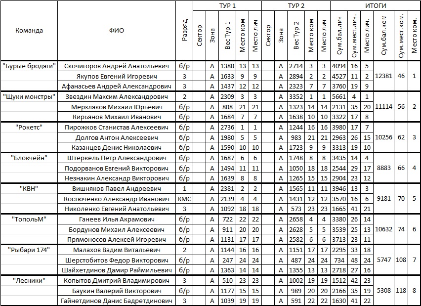
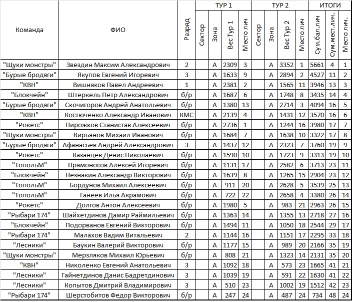
Вчера завершился первый открытый Чемпионат Миасского городского округа по зимней блесне со льда на оз.Аргази (База отдыха "Берёзка" ) ,который проходил 13-14 января 2018г.! Чемпионы определялись, как среди команд в командном зачёте, так и среди результатов каждого спортсмена в личном зачёте. В данном мероприятии приняли участие 4 команды спортсменов из Миасса, 3 команды Челябинска, и одна сборная г. Екатеринбург-Полевской.
Суть соревнований заключалась в том, чтобы спортсмены поймали за два дня (по шесть часов в двух турах) и принесли на взвешивание максимальное количество рыбы пойманной на блесну. В зачёт шли: щука, судак, окунь. Далее по результатам с первого по одиннадцатое место спортсменам присваиваются спортивные разряды либо подтверждаются уже завоеванные ранее. Перед стартом участников проверяют и допускают к соревнованиям: медсправка, полис ОМС, полис доп. страховки от несчастного случая на соревнованиях, заявка на участие и квитанция оплаты взноса командой. Построение, перекличка и .... Звучит старт и спортсмены, согласно своим номерам по результатам жеребьёвки, пересекают створ старта-финиша, расходясь каждый по своим секретным, натренированным точкам. В первом туре судьба улыбнулась Команде "Рокетс" и её капитану Станиславу Пирожкову. Этот спортсмен тренировался на данной акватории с 30.12.2017г. и знал куда и зачем идти и вёл за собой команду. Они заняли первое командное место с общим весом 6.306 гр. Станислав занял первое место и в личном зачёте с весом улова 2.736гр, Но кульминацией взвешивания было определение Биг Фиша (призовая номинация за самого большого Окуня) у команды наших гостей из г. Екатеринбург-Полевской , а в частности у Незнакина Александра крупный окунь (кОкунь) потянул на 201гр.. В данной номинации приз от спонсора турнира компании "Уралспецмаш" электрорыбочистка! , но получил электорыбочистку игрок команды "Рокетс" Казанцев Денис, который во втором туре перебил окуня Незнакина Александра кОкунем в 267гр!!! Во втором туре в командном зачёте победа была за второй из четырёх команд представляющих г.Миасс "Бурые бродяги" 1. Скочигоров Андрей Анатольевич 1988 б/р (капитан) 2. Якупов Евгений Игоревич, 1980 г.р., 3 разряд 3. Афанасьев Андрей Александрович, 1987 г.р., 3 разряд 4.Судья Питалев Артём Олегович, СС3К Ребята настолько хорошо сплотились, как команда , что ловят рыбу ровно по весу все трое так, что по итогам и стали Чемпионами Миасского городского округа в командном зачёте 2018 года. С чем их и поздравляем. Второе место команда "Щуки монстры" г.Миасс, 1. Звездин Максим Александрович, 1978 г.р., 2 разряд (капитан). 2. Мерзляков Михаил Юрьевич, 1977 г.р. б\р. 3. Кирьянов Михаил Иванович,1972 г.р., б\р 4. Судья Кабанов Алексей Владимирович, 1977, СС1К Третье место команда "Рокетс" г.Миасс 1. Пирожков Станислав Алексеевич, 1984 г.р., б/р. (капитан) 2. Долгов Антон Алексеевич, 1987 г.р., б/р. 3. Казанцев Денис Николаевич, 1981 г.р., б/р. 4. Судья Авдеев Дмитрий Геннадьевич, 1967 г.р. СС3К В личном зачёте победу во втором туре одержал самый опытный спортсмен из Миасса Звездин Максим Александрович, который и стал в итоге Чемпионом по зимней блесне со льда Миасского городского округа в 2018году. Серебро получил Якупов Евгений Игоревич, а бронзу увёз в Челябинск, чемпион Челябинска 2017г. Павел Андреевич Вишняков. Природа и погода были великолепными, База отдыха "Берёзка" приветливой, все участники вернулись живыми и здоровыми! Огромное спасибо спонсору и Базе отдыха "Берёзка" за скидки на проживание спортсменов и помощь в организации турнира!
Ловите с нами, ловите как мы, ловите лучше нас! #Аргази #Берёзка #Базаотдыхаберёзка #зимняяблесна #Рыболовныйспорт #Миасс #чемпионатмиасса #уралспецмаш #чемпионат |
|||||||||||||||||
|
_________________ Наши приключения на ютуб канале |
||||||||||||||||||
![]()
|
|
|||||||||||||||||
|
_________________ Наши приключения на ютуб канале |
||||||||||||||||||
![]()
|
с чемпионата второй тур - всё самое интересное
|
|||||||||||||||||
|
_________________ Наши приключения на ютуб канале |
||||||||||||||||||
![]()
|
и на всероссийском телевидении мы !!!
|
|||||||||||||||||
|
_________________ Наши приключения на ютуб канале |
||||||||||||||||||




